Propiedades de los límites y sus aplicaciones
En este artículo explicamos las propiedades que cumple el límite de una función y cómo aplicarlas para resolver problemas.
Índice
Leyes de los límites
Los límites cumplen una serie de propiedades que se pueden aplicar para hallarlos de forma más rápida. Veremos a continuación algunas que involucran operaciones entre funciones.
Suponga que k es una constante y que existen los límites *\lim_{x\to a} f(x)* y *\lim_{x\to a} g(x),* entonces se cumplen las siguientes propiedades.
Regla de la suma: el límite de la suma es igual a la suma de los límites.
$$\lim_{x\to a} [f(x)+g(x)]=\lim_{x\to a} f(x) + \lim_{x\to a} g(x)$$
Regla de la diferencia: el límite de una resta es igual a la resta de los límites.
$$\lim_{x\to a} [f(x)-g(x)]=\lim_{x\to a} f(x) - \lim_{x\to a} g(x)$$
Regla del múltiplo constante: el límite de una constante por una función es igual a la constante por el límite de la función.
$$\lim_{x\to a} [k\cdot f(x)]=k\cdot \lim_{x\to a} f(x)$$
Regla del producto: el límite de un producto es igual al producto de los límites.
$$\lim_{x\to a} [f(x)\cdot g(x)]=\lim_{x\to a} f(x)\cdot \lim_{x\to a} g(x)$$
Regla del cociente: el límite de un cociente es igual al cociente de los límites, siempre que el límite del denominador no sea cero.
$$\lim_{x\to a} \dfrac{f(x)}{g(x)}=\dfrac{\lim_{x\to a} f(x)}{\lim_{x\to a} g(x)}$$
siempre que *\lim_{x\to a} g(x)≠0*
Regla de la potencia: el límite de una función elevada a un exponente entero positivo es igual al límite elevado al exponente.
$$\lim_{x\to a} [f(x)]^n=[\lim_{x\to a} f(x)]^n$$
donde n es un entero positivo.
Regla de la raíz: el límite de la raíz de una función es igual a la raíz del límite.
$$\lim_{x\to a} \sqrt[n]{f(x)}=\sqrt[n]{\lim_{x\to a} f(x)}$$
n es un entero positivo. Si n es par, supongamos que *\lim_{x\to a} f(x)>0*
Todas estas propiedades son también aplicables a los límites laterales, si estos existen.
Límites de funciones elementales
A continuación se presentan algunos límites conocidos de funciones con las que se trabaja habitualmente.
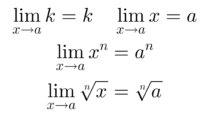
Límite de una función constante: *\lim_{x\to a} k=k*
Límite de la función identidad: *\lim_{x\to a} x=a*
Límite de una función potencia: *\lim_{x\to a} x^n=a^n,* donde n es un entero positivo.
Límite de una función raíz: *\lim_{x\to a} \sqrt[n]{x}=\sqrt[n]{a},* donde es un entero positivo y si n es par suponemos que *a>0*
Las propiedades y límites conocidos son útiles a la hora de calcular límites, ya que nos permiten “descomponer” los límites en otros más sencillos de calcular. Trabajaremos con algunos ejemplos a continuación.
Ejemplo 1: Evaluar el siguiente límite *\lim_{x\to 5} (2x^2-3x+4)*
Solución:
*\lim_{x\to 5} (2x^2-3x+4)=\lim_{x\to 5} (2x^2)-\lim_{x\to 5} (3x)+\lim_{x\to 5} 4~~* (regla de la suma y la diferencia)
*=2 \lim_{x\to 5} x^2-3 \lim_{x\to 5} x+\lim_{x\to 5} 4~~* (regla del múltiplo constante)
*=2 (5^2)-3 (5)+4~~* (límites de la función potencia, identidad y constante)
*=39*
Nótese que si hacemos *f(x)=2x^2-3x+4,* entonces *f(5)=39.* O sea, habríamos obtenido la respuesta correcta si sustituíamos *x* por *5.*
Ejemplo 2: Determinar el siguiente límite *\lim_{x\to -2} \dfrac{x^3+2x^2-1}{5-3x}*
Solución: empezamos usando la regla del cociente, su uso está justificado porque al final determinamos existen los límites y que el denominador no es cero. Caso contrario, no podría usarse.
*\lim_{x\to -2} \dfrac{x^3+2x^2-1}{5-3x}=\dfrac{\lim_{x\to -2} (x^3+2x^2-1)}{\lim_{x\to -2} (5-3x)}*
*=\dfrac{\lim_{x\to -2} (x^3)+\lim_{x\to -2} (2x^2)-\lim_{x\to -2}1)}{\lim_{x\to -2} 5-\lim_{x\to -2} (3x)}~~*(regla de la suma y la diferencia)
*=\dfrac{\lim_{x\to -2} (x^3)+2 \lim_{x\to -2} x^2-\lim_{x\to -2}1)}{\lim_{x\to -2} 5-3 \lim_{x\to -2} x}~~* (regla del múltiplo constante)
*=\dfrac{(-2)^3+2(-2)^2-1}{5-3(-2)}~~* (límites de la función potencia, identidad y constante)
*=-\dfrac{1}{11}*
Nótese que si hacemos *f(x)= \dfrac{x^3+2x^2-1}{5-3x},* entonces *f(-2)=-\dfrac{1}{11}.* Del mismo modo que en el ejemplo anterior, habríamos obtenido el límite sustituyendo *x* por *-2* en la fórmula de la función.
Propiedad de la sustitución directa
Lo que vimos en los ejemplos anteriores es una muestra de la siguiente propiedad, la cual nos facilita el cálculo de límites de funciones polinomiales y racionales.
Es posible utilizar las reglas de la suma, la potencia y el múltiplo constante para calcular el límite de una función polinómica general.
Si *P(x)=a_n x^n+a_{n-1} x^{n-1}+...+a_1 x+a_0* es una función polinómica. Entonces:
*\lim_{x\to c} P(x)=\lim_{x\to c} (a_n x^n+a_{n-1} x^{n-1}+...+a_1 x+a_0)*
*=\lim_{x\to c} a_n x^n+\lim_{x\to c} a_{n-1} x^{n-1}+...+\lim_{x\to c} a_1 x+\lim_{x\to c} a_0*
*=a_n \lim_{x\to c} x^n+a_{n-1} \lim_{x\to c} x^{n-1}+...+a_1 \lim_{x\to c} x+a_0*
*=a_n c^n+a_{n-1} c^{n-1}+...+a_1 c+a_0*
*=P(c)*
Entonces, para calcular el límite de una función polinómica *f* cuando x tiende a un número real c, solo se necesita evaluar la función en c, o sea, hay que sustituir x por c en la fórmula de la función.
$$\lim_{x\to c} P(x)=P(c)$$
Teniendo en cuenta que una función racional no es otra cosa que un cociente de funciones polinómicas, bastará con aplicar la regla del cociente y las que usamos anteriormente para llegar a la conclusión de que ocurre lo mismo que vimos recién: para hallar el límite en un punto hay que evaluar la función en ese punto. Como hemos aplicado la regla del cociente, es importante que el denominador no sea cero.
Si *P(x)* y *Q(x)* son funciones polinómicas, entonces:
$$\lim_{x\to c} \dfrac{P(x)}{Q(x)}=\dfrac{P(c)}{Q(c)}$$
siempre que *Q(c)≠0*
Propiedad de la sustitución directa
Si *f* es una función polinómica o racional y c está en el dominio de *f,* entonces:
$$\lim_{x\to c} f(x)=f(c)$$
La sustitución directa también se puede aplicar para calcular límites de funciones trigonométricas.
Ejemplos de aplicación de las propiedades
Ejemplo 1: Hallar *\lim_{x\to -1} \dfrac{x^3+4x^2-3}{x^2+5}*
Solución: Podríamos usar la propiedad de sustitución directa, para ello debemos garantizar que el denominador no es cero en el punto de interés: si *Q(x)=x^2+5,* *Q(-1)=6≠0;* por tanto, podemos realizar la sustitución.
*\lim_{x\to -1} \dfrac{x^3+4x^2-3}{x^2+5}=\dfrac{(-1)^3+4(-1)^2-3}{(-1)^2+5}*
*=\dfrac{0}{6}*
*=0*
Ejemplo 2: Encontrar *\lim_{x\to -2} \sqrt{-5x^3-4x^2+1}*
Solución: Podemos aplicar la regla de la raíz con *n=2.* Entonces, el límite “entra” en la raíz. Teniendo en cuenta que la función del radicando es polinómica, podemos aplicar la sustitución directa.
*\lim_{x\to -2} \sqrt{-5x^3-4x^2+1}=\sqrt{\lim_{x\to -2} (-5x^3-4x^2+1)}*
*=\sqrt{-5(-2)^3-4(-2)^2+1}*
*=\sqrt{25}*
*=5*
Propiedades de los límites infinitos
Los límites infinitos cumplen algunas propiedades especiales que veremos a continuación.
Sean c y L números reales, y sean f y g funciones tales que
$$\lim_{x\to c} f(x)=\infty~~\text{y}~~ \lim_{x\to c} g(x)=L$$
Suma o diferencia:
$$\lim_{x\to c} [f(x)+g(x)]=\infty$$
$$\lim_{x\to c} [f(x)-g(x)]=\infty$$
Producto:
$$\lim_{x\to c} [f(x) g(x)]=\infty~~\text{si}~L>0$$
$$\lim_{x\to c} [f(x) g(x)]=-\infty~~\text{si}~L<0$$
Cociente:
$$\lim_{x\to c} \dfrac{g(x)}{f(x)}=0$$
$$\lim_{x\to c} \dfrac{f(x)}{g(x)}=\infty~~\text{si}~L>0$$
$$\lim_{x\to c} \dfrac{f(x)}{g(x)}=-\infty~~\text{si}~L<0$$
Propiedades análogas son válidas para límites laterales y para las funciones cuyo límite cuando x tiende a c es *-\infty*
Ejemplo 1: Como *\lim_{x\to 0} 1=1* y *\lim_{x\to 0} \dfrac{1}{x^2}=\infty,* se sigue que
*\lim_{x\to 0} \left(1+\dfrac{1}{x^2}\right)=\infty*
Ejemplo 2: De *\lim_{x\to 1} (x^2+1)=2* y *\lim_{x\to 1^-} \dfrac{1}{x-1}=-\infty,* deducimos que
*\lim_{x\to 1^-} \dfrac{x^2+1}{1/(x-1)}=0*
Ejemplo 3: Al ser *\lim_{x\to 0} 3=3* y *\lim_{x\to 0} \cot x=\infty,* se tiene
*\lim_{x\to 0} 3 \cot x=\infty*
Bibliografía
- Edwards, C. y Penney, D. (1997). Cálculo Diferencial e Integral (4ta edición). Pearson Educación.
- Larson, R. y Edwards, B. (2010). Cálculo 1 de una variable (9na edición). McGraw Hill.
- Leithold, L. (1998). El Cálculo (7ma edición). Oxford University Press.
- Piskunov, N. (1977). Cálculo diferencial e integral (3ra edición). Editorial Mir Moscú.
- Rabuffetti, H. (1999). Introducción al Análisis Matemático: Cálculo 1 (15a edición). El Ateneo.
- Sadosky, M. y Guber, R. (1984). Elementos de cálculo diferencial e integral (17a edición). Librería y Editorial Alsina.
- Stewart, J. (2012). Cálculo de una variable, trascendentes tempranas (7ma edición). Cengage Learning.
- Thomas, G. (2006). Cálculo, una variable (11a edición). Pearson Educación.
- Zill, D. y Wright, W. (2011). Cálculo, trascendentes tempranas (4ta edición). McGraw Hill.







¡Suscríbete a Flamath!
Recibe contenido exclusivo y sé el primero en enterarte de nuestras novedades.
Deja una respuesta

Otros artículos que te pueden interesar